Уведомление
Со 1 сентября 2025 г. оформление заказов в компанию "Сладкая жизнь плюс" теперь осуществляется через сервис smartpro.ru или мобильное приложение Smart Pro.
По вопросам регистрации и работы с системой обращайтесь по телефону сервисного центра: 8 800 200‐75‐75
По вопросам регистрации и работы с системой обращайтесь по телефону сервисного центра: 8 800 200‐75‐75
Настоящее ценовое предложение не является публичной офертой.
Окончательная цена определяется после прохождении регистрации на сайте.
Окончательная цена определяется после прохождении регистрации на сайте.
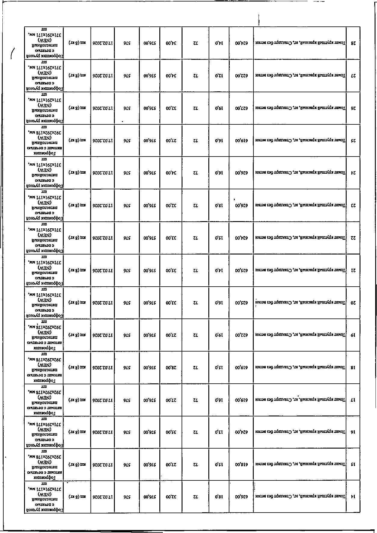
Артикул: 102661
Томат Тепличный
Минимальное количество для заказа: 6.5


















































































